
08.25.2023
LogTen Updates
By Paul Edney

The LogTen team is thrilled to announce updates to our reports, including graphs and summaries.
Make your first impression count with LogTen’s error-free, perfectly calculated, and beautifully exported reports, summaries and graphs!

“LogTen is fantastic! It is fully customizable for anyone regardless of if they are just beginning to fly or a lifelong career airline pilot. You can quickly make and print reports for airline apps, IACRA, resume or any other purpose. Highly recommend!” – App Store Review
Watch VideoLogTen’s flight audit report analyzes your data and runs it against a collection of preset criteria for common errors. Any entry that meets the criteria will be displayed in the report. You can then quickly decide if a correction is needed!
And now that everything’s adding up…

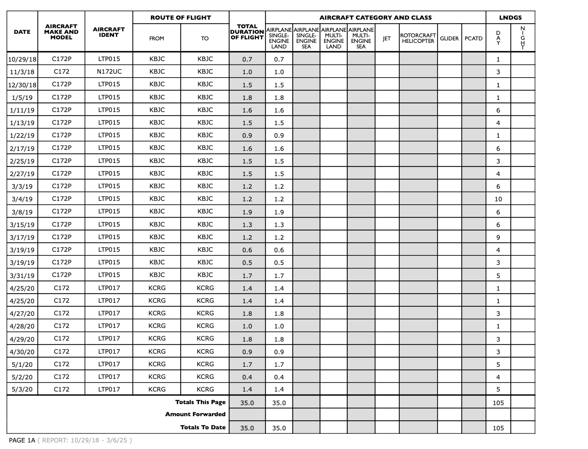
LogTen includes the ability to print incredible (legible!) logbooks that look just like the official formats for the US, Europe, Canada, Japan, South Africa, and Australia, to name a few! Or you can export a dynamic report including all the visible fields in your logbook.
With LogTen experience reports, you can export an IACRA summary, an ATPL qualification report, or a flight experience resumé.
Whatever stage you’re at, LogTen helps you present your career with pride!

This new version of LogTen also includes updated and improved graphs and charts.
LogTen charts and graphs are a great addition to any application to help you stand out from the crowd!

So, if you’re aiming to secure your dream job on the flight deck, or just want to admire your #LogTenLife (https://www.instagram.com/explore/tags/logtenlife/?hl=en) in a myriad of ways, make sure to take full advantage of LogTen reports!
On LogTen for iPhone or iPad, choose ‘Reports’ from the Logbook tab.
On LogTen for Mac, choose ‘Reports’ at the top of the LogTen screen.

Did you know that you can export a report from LogTen with all your endorsements – including signatures?
Just tap the logbook tab, then reports, then certificates and follow the prompts!


